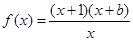
题目
的图象关于原点对称,则
________________.
答案
解析
根据函数f(x)=
的图象关于原点对称知,函数为奇函数,再有特殊点代入即:f(-1)=-f(1)可得到b的值.解:∵f(-1)=
=-f(1)=-
∴b=-1.
故答案为:-1.
的图象关于原点对称,则
________________.
的图象关于原点对称知,函数为奇函数,再有特殊点代入即:f(-1)=-f(1)可得到b的值.
=-f(1)=-