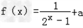
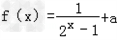
若函数是奇函数,求实数a的值.

难度:一般 题型:解答题 来源:江苏同步题

题目

若函数是奇函数,求实数a的值.

答案

解:∵函数是奇函数
∴f(﹣x)+f(x)
=+=
++2a
=﹣1+2a
=0
解得
∴实数a=

解析

闽ICP备2021017268号-8