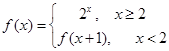
已知函数,则函数的值为________ 难度:简单 题型:填空题 来源:不详 2023-11-23 20:00:03 题目 已知函数,则函数的值为________ 答案 解析 相关题目 已知函数,则函数的值为________ (14分)设二次函数(a>0),方程的两个根满足 已知函数,(),若,,使得,则实数的取值范围 若函数在上是增函数,则实数的取值范 已知函数,,用表示中的较大者,若,且,.(Ⅰ)求 已知二次函数及函数,函数在处取得极 的单调增区间是 (本小题满分13分)已知函数,且(1)若函数 (本小题满分12分,(1)小问6分,(2)小分6分 已知函数是偶函数,则( )A. k = 0 闽ICP备2021017268号-8