题目
,
的两个极值点为
,线段
的中点为
.(1) 如果函数
为奇函数,求实数
的值;当
时,求函数
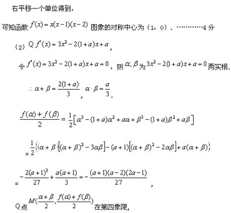
图象的对称中心;(2) 如果
点在第四象限,求实数
的范围;(3) 证明:点
也在函数
的图象上,且
为函数
图象的对称中心.
答案
(1)(1,0)
(2)

(3)略
解析
解:(1)【法一】因为
为奇函数,所以
, 得:
. 当
时,
,有
,则
为奇函数. …………4分【法二】
,
恒成立,
, 求得
.当
时,
,该图象可由奇函数
的图象向
得:

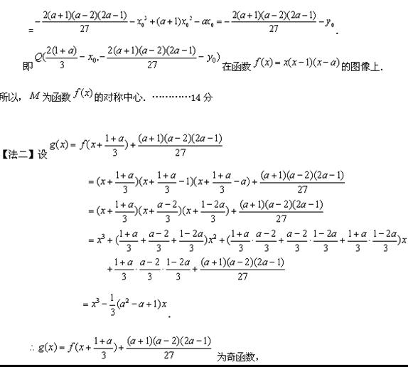
. …………9分(3)由(2)得点
,又

=
,所以点
也在函数
的图象上. 【法一】
设
为函数
的图象上任意一点,
关于
的对称点为
而


对称中心为
. 把函数
的图象按向量
平移后得
的图象,
为函数
的对称中心. …………14分