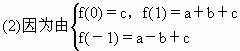
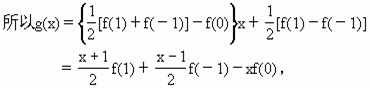
已知a、b、c是实数,函数,,当时,.(1)证明: 难度:一般 题型:解答题 来源:不详 2025-08-26 12:00:02 题目 已知a、b、c是实数,函数,,当时,.(1)证明:;(2)证明:当时,; 答案 答案见解析 解析 解 (1)|c|=|f(0)|≤1(因为0∈[-1,1]). 所以当-1≤x≤1时, 相关题目 已知a、b、c是实数,函数,,当时,.(1)证明 已知二次函数的图象如图所示,试判断 (本题满分14分)已知二次函数:(1)若 关于x、y的二元一次方程组mx 某市出租车收费标准如下:起步价8元, 已知f(x)是一次函数,且满足3f(x+1)=2 设函数f(x)=(2a-1)x+b是R上的减函数 设二次函数,若(其中),则等于 _ (本题满分12分)已知函数在上是减函数 若函数在上是单调函数,则的取值范围 闽ICP备2021017268号-8