题目
是偶函数,
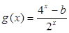
是奇函数,那么
的值为( )| A.1 | B.-1 | C.
|
D.
|
答案
解析
是奇函数,结合函数奇偶性的性质,可以构造关于a,b的方程,解方程求出a,b的值,可得答案.解:∵f(x)=lg(10x+1)+ax为偶函数
∴f(-x)=f(x)
即lg(10x+1)+ax=lg(10-x+1)-ax
解得a=-

∵
是奇函数,∴g(0)=

解得b=1
∴a+b=

故选D
是偶函数,
是奇函数,那么
的值为( )| A.1 | B.-1 | C.
|
D.
|
是奇函数,结合函数奇偶性的性质,可以构造关于a,b的方程,解方程求出a,b的值,可得答案.
是奇函数,
