已知定义在R上的函数f(x)的图象关于点成中心对称

难度:一般 题型:填空题 来源:专项题

题目

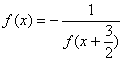
已知定义在R上的函数f(x)的图象关于点成中心对称,对任意实数x都有,且f(-1)=1,f(0)=-2,则f(0)+f(1)+…+f(2010)=(    )。

答案

-2

解析

闽ICP备2021017268号-8