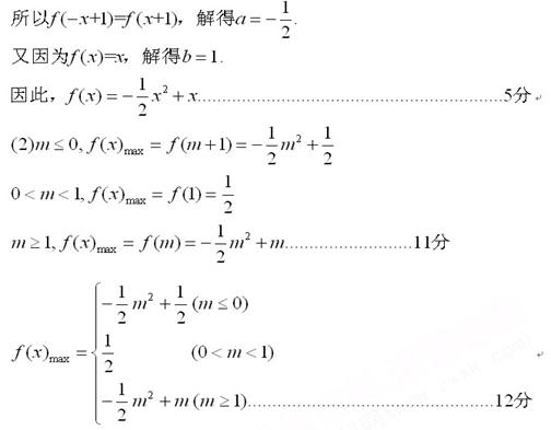
二次函数,满足为偶函数,且方程有相等实根。(1)求 难度:一般 题型:解答题 来源:不详 2023-11-25 06:00:03 题目 二次函数,满足为偶函数,且方程有相等实根。(1)求的解析式;(2)求在上的最大值。 答案 解析 略 相关题目 二次函数,满足为偶函数,且方程有相等 已知二次函数与x轴交点的横坐标为(). 设二次函数,已知不论为何实数恒有, (本小题满分12分)已知函数.(I)当时,若 函数的值域是( )A.B.(C.D. 若函数在区间上是减函数,则实数的取 已知函数的最值情况为( )A.有 设是定义在R上的偶函数,且在(-∞,0) 函数在区间[0,4]的最大值是 若函数的图像上的任意一点都在函数 闽ICP备2021017268号-8