已知定义在R上的函数是奇函数。(1)求a,b的值;

难度:一般 题型:解答题 来源:0111 同步题

题目

已知定义在R上的函数是奇函数。
(1)求a,b的值;
(2)若对任意的t∈R,不等式恒成立,求k的取值范围。

答案

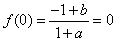
解:(1)∵f(x)是定义在R的奇函数,


 ∴对一切x都成立,
∴a=1。
(2)在R上单调递减,又是奇函数,

恒成立,
恒成立,
∴k<

解析

闽ICP备2021017268号-8