首页
新华字典
汉语词典
题库大全
语文题库
数学题库
英语题库
物理题库
化学题库
地理题库
历史题库
政治题库
生物题库
作文大全
一年级作文
二年级作文
三年级作文
四年级作文
五年级作文
六年级作文
初一作文
初二作文
初三作文
高一作文
高二作文
高三作文
首页
>
题库大全
>
高中题库
函数,这个函数的奇偶性是( )。
难度:一般
题型:填空题
来源:0108 期中题
2023-11-16 23:30:01
题目
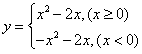
函数
,这个函数的奇偶性是( )。
答案
奇函数
解析
相关题目
函数,这个函数的奇偶性是( )。
已知函数,(1)判断函数的奇偶性;(2)求函数
已知f(x+y)=f(x)+f(y)对于任何实数
函数是定义在实数集上的奇函数,则a
定义两种运算:,则函数[ ]
定义在实数集上的函数f(x),对任意x,y
已知偶函数f(x)满足f(x)=x3-8(x≥0)
已知函数。(1)证明f(x)为奇函数;(2)判断
已知函数f(x)是定义在R上的奇函数,
定义在R上的偶函数f(x)满足f(x+1)=
闽ICP备2021017268号-8