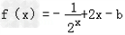
设函数f(x)为定义在R上的奇函数,当x≤0时,

难度:一般 题型:单选题 来源:模拟题

题目

设函数f(x)为定义在R上的奇函数,当x≤0时,(b为常数),则f(1)=    [     ]

答案

A

解析

闽ICP备2021017268号-8