求下列函数的表达式:(1)一次函数f(x)使得f{

难度:一般 题型:解答题 来源:江苏同步题

题目

求下列函数的表达式:
(1)一次函数f(x)使得f{f[f(x)]}=﹣8x+3,求f(x)的表达式;
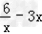
(2)已知f(x)满足,求f(x)的表达式.

答案

解:(1)设f(x)=kx+b,k≠0,
则f[f(x)]=kf(x)+b=k2x+kb+b,
f{f[f(x)]}=k(k2x+kb+b)+b=k3x+k2b+kb+b=﹣8x+3,
,解得k=﹣2,b=1,
∴f(x)=﹣2x+1.
(2)∵,①
,②
②×2,得,③
③﹣①,得3f(x)=

解析

闽ICP备2021017268号-8