题目
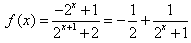
已知定义域为R的函数
是奇函数。
(1)求a,b的值;
(2)若对任意的t∈R,不等式f(t2-2t)+f(2t2-k)<0恒成立,求实数k的取值范围。
答案
所以
,解得b=1,从而有
; 又由f(1)=-f(-1)知
,解得a=2。(Ⅱ)由(Ⅰ)知
,由上式易知f(x)在(-∞,+∞)上为减函数,
又因f(x)是奇函数,
从而不等式
等价于
,因f(x)是减函数,由上式推得
, 即对一切t∈R有
, 从而判别式
; 已知定义域为R的函数
是奇函数。
(1)求a,b的值;
(2)若对任意的t∈R,不等式f(t2-2t)+f(2t2-k)<0恒成立,求实数k的取值范围。
,解得b=1,
;
,解得a=2。
,
等价于
,
,
,
;