已知曲线C:f(x)=x3+bx2+cx+d的图象

难度:困难 题型:解答题 来源:模拟题

题目

已知曲线C:f(x)=x3+bx2+cx+d的图象关于点A(1,0)中心对称,
(1)求常数b的值及c与d的关系;
(2)当x>1时,f(x)>0恒成立,求c的取值范围.

答案

解:(1)由曲线C的图象关于A(1,0)中心对称,得f(x)+f(2-x)=0恒成立,
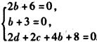
即:(2b+6)x2-4(b+3)x+2d+2c+4b+8=0恒成立,
,∴
(2)由f(x)>0,得恒成立,

恒成立,
而x>1时,
∴c≥3。

解析

闽ICP备2021017268号-8