判断函数的奇偶性。

难度:一般 题型:解答题 来源:同步题

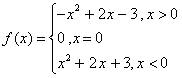
题目

判断函数的奇偶性。

答案

解:①当x<0时,-x>0,则f(-x)=-(-x)2+2(-x)-3=-x2-2x-3=-(x2+2x+3)=-f(x);
②当x=0时,-x=0,有f(-x)=-f(x)=0;
③当x>0时,-x<0,则f(-x)=(-x)2+2(-x)+3=x2-2x+3=-(-x2+2x-3)=-f(x);
综上知,对任何x∈R,总有f(-x)=-f(x),所以f(x)是奇函数。

解析

闽ICP备2021017268号-8